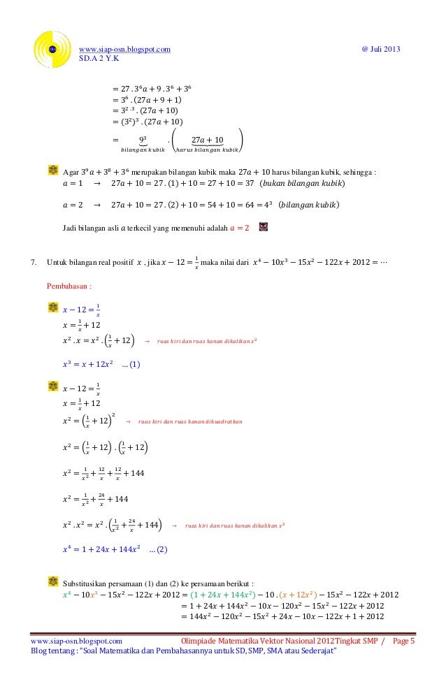
Soal dan pembahasan olimpiade matematika vektor nasional 2012 tingkat…

Berikut ini penulis sajikan Soal UlanganYang kami Susun Bagi Pembaca [Dari Berbagai Sumber] salah Satunya dari Bing.com Membahas tentang Soal-soal Pelajaran sekolah soal olimpiade matematika kls 2 sd , Anda dapat mencari juga di pencarian BING.COM.
Contoh Materi Dibawah ini Sesuai Soal dan pembahasan olimpiade matematika vektor nasional 2012 tingkat…'s Silahkan Di SimpanMateri Terkait Soal dan pembahasan olimpiade matematika vektor nasional 2012 tingkat…
Soal Soal Ips Kelas 6 Ujian Sekolah newhairstylesformen2014.com

Soal uts ktsp matematika kelas 1 sd semester 2

Download Soal UKK / UAS Genap Matematika Kelas 2 SD/MI Semester 2 Terbaru Tahun 2017 ~ Rief Awa

0 Response to "Soal dan pembahasan olimpiade matematika vektor nasional 2012 tingkat…"
Post a Comment